ACHTUNG! dieses Blog könnte UMZIEHEN

Juni 22, 2024

Liebe Leser,

Zur Zeit nutze ich die Dienste des Anbieters wordpress.com für dieses Blog. Falls ich in Zukunft umziehen muss, werde ich alle meine Blogs über folgende Seite verfügbar halten:

https://lc-soc-lc.at/blogs.htm

Meint

Euer Christoph


Buchbesprechung: Chemie? Durchschaut!

April 7, 2018

Chemie? Durchschaut!
ISBN 978-3-99070-324-3
Dipl.-Ing. Dr. Georg Dazinger

Der Autor dieses Buches, Herr Dipl.-Ing. Dr. Georg Dazinger, verspricht in diesem Buch den gesamten Lehrstoff der Chemie von der Unterstufe über die Oberstufe bis hin zum ersten Semester der Universität einfach und in kleinen Schritten zu erklären.

Und tatsächlich sind die Geheimnisse der Chemie klar und einfach dargelegt – was man einem Mann mit solch vielen Titeln gar nicht zutrauen würde 🙂

Ich habe dieses Buch seit gut einer Woche und bin – obwohl ich neben Arbeit, Haushalt und Kindern eigentlich kaum Zeit habe – bereits auf Seite fünfzig.

Ich erwarte mir auch für die nächsten 600 Seiten, dass der Stil weiterhin so flüssig ist und die Erklärungen so einleuchtend wie bisher.

Da Herr Dr. Dazinger so kleine Schritte macht, ist das Buch natürlich etwas dick geraten. Die 650 Seiten haben ihren Preis, aber sie sind diesen Preis tatsächlich wert.

Meint
Euer Christoph


Von der Identität

Juli 17, 2017

Wie Ihr wisst, hatte ich ein paar „Kleine religiöse Büchlein“ geschrieben (siehe Kleine religiöse Büchlein ) und möchte noch eines hinzufügen, das „Von der Identität“ handeln wird.

Hier jetzt erste Textproben:

 

Das ist eine Puppe

Im Büchlein „Über die Realität“ habe ich mich zu einem Satz verstiegen, wo ich behaupte:

Alles, was mit sich selbst ident ist, ist ein Teil der Realität.

Die Identität ist eine wesentliche Sache, wenn wir Menschen das Universum erfassen.

Und es ist tatsächlich so simpel, dass man es einem kleinen Kind nicht erklären muss.

Ganz einfach geht die Identitätsbildung vor sich, indem man einem Kind einen Gegenstand zeigt und dazu sagt:

„(Das ist ein) Ball“

oder

„(Das ist eine) Puppe“.

Das ist eine natürliche Sache, die sehr simpel funktioniert.

Erst später beginnen wir, darüber nachzudenken.

Wenn der Puppe ein Arm ausgerissen wird, und wir ersetzen den Arm durch einen Ersatzarm – ist das immer noch dieselbe Puppe?

Angenommen, ich ersetze an einem Ding einen Teil nach dem anderen, bis alle Teile ersetzt worden sind. Bleibt es immer noch dasselbe Ding?

Wie ist das mit den Elektronen in einem Molekül?

Kann man da die einzelnen Elektronen voneinander unterscheiden? Handelt es sich immer um dieselben Elektronen? Oder sprechen wir nicht viel eher von einem „Elektronengas“ oder von unanschaulichen „Quanten­zu­stän­den“?

Sind Atomkerne mit sich selbst ident? Könnte man alle Atomkerne der Welt – zumindest theoretisch – durch­nu­merieren und man hätte dann lauter individuelle Atomkerne?

Oder wabert das ganze Universum als eine undefinierbare Materiewolke vor sich hin und die Identitäten, die wir wahrnehmen, sind eigentlich Schimären, die unsere Eltern uns eingeredet haben?

Na, und bei den materiellen Realitäten – also bei Atomen und Mole­külen – nennen wir sie einfach einmal „die Wirklichkeit“ – ist es ja noch vergleichsweise einfach.

Aber was ist mit den immateriellen Realitäten – nennen wir sie einfach mal die „Wahrheit“?

Ist Darth Vader immer derselbe, ganz egal, ob er von John im mittleren Westen, von Jacques in Paris oder von Erik in Norwegen perzipiert wird? Meinen wir alle dasselbe, wenn wir von Darth Vader sprechen, lesen und hören?

Der Streit geht auseinander, manche Leute behaupten, literarische Wahrheiten seien klarer definiert als so manche historischen Wahrheiten. Über Peter Pan wissen wir mehr, als über den historischen Jesus Christus – das neue Testament ist kein Geschichtsbuch, sondern eine Sammlung von Geschichten, wenngleich einige historische Tatsachen zugrunde liegen.

Und so ist diese grundlegende Frage, dieses „Was ist das?“, bzw. dieses „Wer ist das?“ eine Frage, die uns nie ganz losläßt, nie ganz loslassen wird.

Zeit, darüber ein kleines Büchlein zu schreiben.

 

 

Identität ist notwendig für Beziehung

Wenn mir meine Mutter gesagt hat „das ist ein Ball“, dann hat sie mir ermöglicht, mit dem Ball in Beziehung zu treten.

Und sie hat mir ermöglicht, anderen Menschen über meine Bezie­hung zu dem Ball zu erzählen: „Böser Ball hat mir weh getan“.

Identität folgt also nicht aus den Naturgesetzen, sondern Identität ist eine notwendige Voraussetzung, um Modellbildung betreiben zu können.

Erst nach der Modellbildung sind wir überhaupt in der Lage, Naturgesetze zu formulieren.

Sollte z.B. ein Quantentheoretiker unter meinen Lesern das Gegenteil herleiten können, bitte ich darum, mich zu korrigieren.

So liege der Verdacht nahe, dass die Identität etwas sei, das wir Men­schen hauptsächlich aus psychosozialen Gründen benötigten, und das wir aus diesem kühlen Grunde „in das Universum hinein­inter­pre­tie­rten“.

Damit wir uns nicht so verdammt alleine fühlten, beseelten wir die Natur, dächten uns alle möglichen Götter aus und ausserdem glaubten wir, dass der Mensch dazu erschaffen sei, die wahre Liebe zu finden.

Ewige Sehnsucht.

Aber auch ewige Triebkraft.

Einander kennzulernen, die wahre Identität zu entdecken, was versteckt sich hinter der Fassade?

Neugier.

Hoffnung.

Und Enttäuschung.

 

 

Reif durch Enttäuschung

Eine Enttäuschung ist immer auch eine Ent-Täuschung.

Nach einer Enttäuschung ist man um eine Täuschung ärmer, aber auch um eine Erfahrung reicher.

Und man ist näher an der Wahrheit. Wahres Ziel unserer Sehnsucht.

Nicht mehr ge-täuscht, sondern ent-täuscht.

 

 

Es gibt (nur) einen Gott

„Oida, ich sag‘ Dir. Mein Gott ist besser als Deiner. Der wird ihn fertig machen. Sag‘ ich.“

Es gibt immer noch Menschen, die an den Spruch glauben „Wir sind die Guten und die Anderen müssen besiegt werden“.

Jetzt kommt die Ent-Täuschung: „Du, und ich, wir glauben an denselben Gott – es gibt nur einen“.

Wenn wir uns streiten, dann stellen wir uns beide gegen Gott, den Herrn des Universums, der unser Vater ist und unser Bestes will.

Es gibt nichts, was so sehr mit sich selbst ident ist, wie dieser Gott.

Und wenn wir auch ein Fünkchen dieser Identität, dieser Gegenwart, in uns spüren, dann sind wir schon große Hoffnungsträger.

Diese große Einigkeit, dieser große Frieden, diese Gelassenheit, diese Freude, dieses Kindsein und diese Hoffnung.


Von der Identität

Juli 7, 2017

Einmal hat mir jemand einen Text vorgelesen – ich weiss nicht, ob dieser Text noch auffindbar ist –, der handelt von einem Menschen und seinem Rasenmäher.

Die Beziehung zwischen dem Menschen und seinem Rasenmäher ist eine Langzeitbeziehung, und so geschieht es, dass Teil für Teil kaputt wird, zuerst der Gashebel, dann das Bremskabel und zu guter letzt die gesamte Blechabdeckung. Nach und nach werden alle Teile durch Ersatzteile ausgetauscht.

Zum Schluss fragt man sich: „Ist es immer noch der Rasenmäher jenes Menschen, von dem wir lesen? Ist der Rasenmäher <derselbe> geblieben, oder handelt es sich bereits um eine neue <Identität>?“

Genauso ist es bei einem Auto. OK, dort ist es einfacher, dort gibt es eine eindeutige Fahrgestellnummer und eine Motorblocknummer.

Aber was ist in der Quantenphysik? Kann man einzelne Elektronen voneinander unterscheiden? Redet man nicht von einem diffusen „Elektronengas“ oder von schwer vorstellbaren „Quantenzuständen“? Bleibt ein Atom immer dasselbe? Kann man Atome – zumindest theoretisch – durchnummerieren und ihnen so eine Identität verleihen?

In der Informatik. Gestern habe ich ein Erlebnis dieser Art gehabt. Habe in einem Dokumenten­verwaltungssystem ein Dokument angelegt und einen Link darauf per e-mail verschickt. Weil mit dem Template etwas nicht gestimmt hat, habe ich das Dokument nochmal gelöscht und unter demselben Namen neu angelegt.

Trotzdem konnten die Kollegen über den Link nicht auf das Dokument zugreifen, da es vom System eine neue ID bekommen hatte.

Das ist auch schon der Unterschied zwischen „Name“ und „ID“. Ein „Name“ muss nicht eindeutig sein – verschiedene Objekte können denselben Namen haben –, eine „ID“ ist im ganzen System eindeutig – ein und dasselbe Objekt gibt es nur ein einziges mal, von seiner Entstehung bis zu seiner Vernichtung.

Aber ist der Begriff der Identität nicht eine „Vermenschlichung der Natur“? Ist das nicht nur eine Sache, die der Mensch den Dingen „überstülpt“? Lässt sich der Begriff der Identität aus Natur­ge­setzen herleiten? Aus der Quantentheorie? Oder ist das nicht reine Philosophie, gar Theologie?

Damit will ich mich jetzt ein wenig auseinandersetzen.

Meint

Euer Christoph


Von der Identität

Juni 17, 2017

In einem meiner letzten religiösen Büchlein (siehe hier) habe ich mich zu dem Satz verstiegen: „Alles ist wahr, was mit sich selbst ident ist“, bzw. „Alles ist real, was mit sich selbst ident ist“.

Aber was bedeutet „Identität“.

Wenn ich mit einer Adresse „vorname.nachname@domain.tld“ kommuniziere, dann kommuniziere ich mit einer „virtuellen“ Identität.

Aber welche „reale“ Identität versteckt sich „hinter“ der „virtuellen“ Identität.

Kommunizieren wir nicht immer nur mit virtuellen Identitäten?

Wie lange muss ich eine Menschen kennen, bevor ich zu seiner „wahren“ Identität vorstosse?

Was ist die wahre Identität Gottes, den wir ja immer noch suchen?

Ich denke, den Begriff der Identität werde ich im nächsten Büchlein ventilieren.

Meint
Euer Christoph


Brief an meine Tochter – 2017-05-25

Mai 28, 2017

Betreff: SrrTrains – die ganze Geschichte – aus heutiger Sicht

Liebe C.!

Begonnen hat die ganze Geschichte damit, dass ich

a) im Zuge meiner Diplomarbeit (1993 – 1997) draufgekommen bin, dass man mit Hilfe von GPS Uhren hochgenau synchronisieren kann
b) eine Fernsehdokumentation über die F-117A (den ersten Tarnkappenbomber „Night Hawk“) gesehen habe

Beides zusammengenommen war ich dann der Meinung, dass sowohl GPS als auch TCP/IP (das Internet) nur deswegen erfunden worden sind, damit der Tarnkappenbomber fliegen kann (technische Details kann ich Dir gerne erklären, im Prinzip geht es um „bistatisches RADAR“).

Also hatte der Tarnkappenbomber (der in meiner Phantasie mit der Metapher „Darth Vader“ gleichgesetzt wird) zwei Kinder, nämlich GPS (Leia) und TCP/IP (Luke). Das ist natürlich nur eine Metapher.

Weil mir niemand bestätigen oder widerlegen konnte, ob ich recht habe, war das eine sehr anstrengende Zeit – Du musst Dir vorstellen, Du hast etwas Grundlegendes entdeckt, aber niemand bestätigt oder widerlegt es, alle gehen aber davon aus, dass Du verrückt bist, insbesondere Deine Frau.

Nun kam ich dahinter, dass Darth Vader noch ein drittes Kind gehabt haben könnte: was wäre, wenn die 3D Graphik auch ein Kind der Tarnkappentechnologie wäre? Technische Details auf Nachfrage.

Das führte im Jahr 2000/2002 zur Erfindungsmeldung DIGITS. Siemens hat mir diese Erfindung dann freigegeben. Da Siemens nicht wusste, wie man damit Geld machen soll, haben sie mir die Verantwortung umgehängt. Damals gab’s noch kein Google Earth, aber wie ich später nachgelesen habe, war es bereits in Entwicklung.

Ausserdem bekam ich den Hinweis, dass ich nicht immer nur an die F-117A denken soll, sondern auch an Drohnen (und Roboter).

Dann habe ich die „Zifferngeschichte“ (Geschichte von DIGITS) geschrieben.

Im Jahr 2005 (Einstein’s Jahr!) war die Ideenfindung für die Idee DIGITS abgeschlossen, das ich immer noch mit mir herumtrage.

Im Jahr 2007 habe ich mein erstes Blog begonnen, weil ich gefühlt habe, dass ich über diese Idee veröffentlichen MUSS (Web 2.0 kam mir damals zu Hilfe).

Dann habe ich die Zifferngeschichte veröffentlicht und begonnen die Erzählung (genau genommen die „Drehbuchskizzen“) „Das dritte Kind“ zu schreiben.

Bei Siemens habe ich 2007 die Idee „SIMULRR“ abgegeben, die zu Ostern 2008 freigegeben worden ist (auch hier wollte Siemens nicht die Verantwortung übernehmen).

Zu Ostern 2008 habe ich mit dem X3D Hobby begonnen – zuerst mit einem Rollercoaster Projekt.

Frühling 2009 war ich sicher, dass man X3D für die virtuelle Modelleisenbahn verwenden kann und habe mit dem „SrrTrains v0.01“ Projekt begonnen.

März 2010 musste ich die Firma wechseln (das hat sich schon 2009 abgezeichnet). März 2010 war auch die „erste LAN Party“ des SrrTrains v0.01 Projekts.

Dann kam noch die Idee dazu, die „unteren Schichten“ von SrrTrains „zu begraben“ (eine Schicht tiefer zu legen) – das ist SMUOS – und es kam die Idee dazu, die virtuelle Multiuser Szene mit der „real reality“ zu verbinden (SMS = Simple Multiuser Scene).

Das Blog erstersein.wordpress.com wurde von zweitersein.wordpress.com abgelöst, als ich begann, den zweiten Teil des „dritten Kindes“ zu schreiben. Das dritte und letzte Blog heisst jetzt letztersein.wordpress.com.

Es gibt eine Master-Page, das ist die „Page der ignatio-franziskanischen Revolutionsassistenten“, die ich halb im Scherz und halb ernsthaft gegründet habe

https://letztersein.wordpress.com/die-projekte/

Ein paar inoffizielle Dinge findet man auf http://members.chello.at/christoph.valentin

Jetzt aber ein großes Danke, dass Du diese E-Mail zuverlässig aufheben wirst, und stress Dich nicht beim Lesen, Du hast alle Zeit der Welt 🙂

Bussi
Papa


Es gibt nur eine Wahrheit,…

Dezember 22, 2014

…aber es gibt viele Modelle.

Wenn ich etwas sage oder schreibe, dann ist das, was ich meine, die Wahrheit.

Aber jeder Zuhörer, jeder Leser, hat ein anderes Modell davon, was ich gemeint haben könnte.

Kann jemand die Wahrheit besitzen?

Wir besitzen nur ein Modell (oder deren mehrere).

Es gibt nur einen Gott.

Aber es gibt viele Religionen.

Wir haben nur ein Zeichen.

Das Zeichen ist das Kind in der Krippe.

Aber was steckt hinter diesem Zeichen?

Meint

Euer Christoph

P.S.: schöne Weihnachten


Substanz und Akzidenz

Oktober 6, 2014

Ein Auto ist ein Auto.

Ein Auto hat eine Masse.
Ein Auto hat eine Geschwindigkeit.
Ein Auto hat eine Farbe.
Ein Auto hat einen Füllstand des Tanks.
Ein Auto hat eine Position.

Und so weiter.

Aristoteles bezeichnet diese Beziehungen als die Beziehungen zwischen Substanz und Akzidenz.

Wenn ich einem anderen Menschen etwas über mein Auto erzähle, reicht es, das Auto als „mein Auto“ zu bezeichnen, denn solange ich nicht zwei oder mehr Autos besitze, ist das eine eindeutige Bezeichnung.

Dennoch werde ich ihm einige der Akzidenzien verraten müssen, wenn ich ihm den Schlüssel in die Hand drücke und ihm dann sage, er kann es gerne verwenden.

Wenn er es noch nicht kennt, werde ich ihm wohl den Typ und die Farbe verraten müssen, jedenfalls aber die Position, an der ich es abgestellt habe.

Und so beschäftigt sich die Naturwissenschaft ausschließlich mit den Akzidenzien, genauer gesagt, mit den meßbaren Akzidenzien der in der Natur vorkommenden Objekte.

Weiters muss man darauf hinweisen, dass der Wert, also die mathematische Größe einer meßbaren Akzidenz entweder ein absoluter Wert sein kann (der nicht vom Beobachtungspunkt abhängt), oder ein relativer Wert (der vom Bezugssystem abhängt). Zum Beispiel hängt die Geschwindigkeit des Autos vom Bezugssystem ab. Wenn ich in einem anderen Auto nebenher fahre, bewegt sich das Auto relativ zum Bezugssystem mit der Geschwindigkeit Null, wenn das Bezugssystem die Straße ist, bewegt sich das Auto mit der Geschwindigkeit, die am Tacho angezeigt wird.

Um nun wieder auf die beliebte Relativitätstheorie zurückzukommen.

Dort geht es um sogenannte „Ereignisse“.

Ein Ereignis ist ein Ereignis.

Ein Ereignis hat eine Position.

Ein Ereignis hat einen Zeitpunkt, zu dem es stattfindet.

Ort und Zeit eines Ereignisses sind also – meßbare – Akzidenzien und sind im Allgemeinen vom Bezugssystem abhängig. Man sieht, dass die Zeit weiterhin eine Akzidenz ist, denn die Substanz ist das Ereignis.

Der Vorwurf, die Relativitätstheorie „objektiviere die Zeit“, indem sie ihr das Wesen einer Substanz zuschanze, läßt sich aus dieser Sicht nicht aufrecht erhalten, denn dafür gibt es jetzt den Begriff des „Ereignisses“.

Das Ereignis ist die Substanz, die Zeit (der Zeitpunkt) ist eine Akzidenz.

Eventuell könnte man der Raumzeit eine gewisse Affinität zur Substanz unterstellen, da sie ja die Menge aller potentiellen Ereignisse darstellt, aber das ist eine philosophische Interpretation und hat mit der naturwissenschaftlichen Relativitätstheorie nichts zu tun.

Meint
Euer Christoph


Ergebnissicherung

Oktober 4, 2014

Schon in einer der ersten DG-Stunden hat uns unser DG-Lehrer die sogenannte „Ergebnissicherung“ ans Herz gelegt.

Also: wenn Du im Gang einer Konstruktion durch Schneiden zweier Linien einen Punkt gefunden hast, dann mach‘ doch bitte ein Kringel drum und gib‘ dem Punkt einen Namen.

Und in der Naturwissenschaft ist es ähnlich. Nicht jeder von uns muss den gesamten „Gang der Konstruktion“ nachvollziehen, nicht jeder muss in die Archive gehen, und nachschauen, was denn Lorentz, Einstein und wie sie alle heissen, tatsächlich geschrieben haben.

Nein, zum Beispiel die „Konstanz der Lichtgeschwindigkeit“ (also, dass die Lichtgeschwindigkeit vom Bewegungszustand des Beobachters unabhängig ist) ist eine „gesicherte Erkenntnis“, und man muss diese Erkenntnis nicht gleich wieder über Bord werfen, nur weil da einer schreit: „Glaub‘ ich nicht“.

Etwas anderes wäre ein experimenteller Befund bzw., wenn man eine noch einfachere Erklärung gefunden hätte. Das wäre was. Aber das ist nicht.

Meint
Euer Christoph


Die Welle – Aufzucht und Pflege

September 13, 2014

Gegen Ende der Artikelserie „Ein kleiner Programmierer versucht die Quantentheorie zu verstehen“ wollen wir uns daran machen, die Schrödingergleichung zu begreifen.

Natürlich ist die Schrödingergleichung ein Axiom und kann somit nur experimentell „bewiesen“ werden, aber man kann trotzdem versuchen, sie zu „begreifen“.

In einem der letzten Artikel war die Rede davon, dass Louis de Broglie postuliert hatte, es müsse Materiewellen geben, Materie sei nicht nur als Menge von Punkten mit Masse und Ladung zu verstehen, sondern auch als Funktion einer noch zu definierenden Größe, die sich wellenartig ändere.

Jetzt wollen wir einmal ganz dumm fragen.

Was ist eine Welle? Was ist ein Teilchen?

Alle sprechen vom Welle-Teilchen-Dualismus, aber sind wir uns überhaupt bewußt über die Begriffe, die wir verwenden?

Unter einem Teilchen werden sich die meisten Menschen eine Art Billardkugel vorstellen, die eine starre, unveränderliche Form hat und sich auf einem Billardtisch befindet.

Auf dem Billardtisch stellen wir uns neben den Billardkugeln auch sehr viel leeren Platz vor, sodaß wir im Idealfall von unendlich kleinen Teilchen in einem unendlich leeren Raum sprechen.

Jedes dieser Teilchen hat dann eine bestimmte Masse und eine bestimmte Ladung.

Aus diesen Eigenschaften – Masse und Ladung – der Teilchen, aus ihrer Geschwindigkeit und aus ihrer relativen Lage ergeben sich dann alle Eigenschaften, z.B. auch die Energie und der Impuls.

Ganz anders ist es bei einer Welle.

Eine Welle ist im allgemeinen Fall eine Größe, die von allen vier Parametern x, y, z und t abhängt, also eigentlich ein zeitabhängiges Feld.

Im folgenden zeichnen wir ein eindimensionales Beispiel einer Größe y = y(x, t), wobei wir uns das Bild als „Schnappschuß“ vorstellen müssen, da sich das Bild ja mit jeder Sekunde ändert.

x sei die Ortskoordinate, t die Zeit und y sei „irgendeine physikalische Größe, die von x und t abhängt“, also zum Beispiel sei x die Ortskoordinate entlang einer Straße und y sei die Verkehrsdichte (Autos pro Minute).

qp_3_abb_1

Jede Welle ist also ein zeitabhängiges Feld, eine Größe, die von Ort und Zeit abhängt.

Ist aber jedes zeitabhängige Feld eine Welle?

Nein.

Eine Welle ist ein spezielles zeitabhängiges Feld, nämlich ein Feld, welches eine Lösung einer Wellengleichung ist.

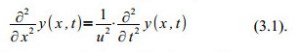
In ihrer einfachsten eindimensionalen Form lautet die Wellengleichung

qp_3_1

Dabei ist u ein konstanter Wert, dessen Bedeutung wir jetzt erforschen wollen.

Die Dimensionen auf den beiden Seiten der Gleichung lauten

qp_3_2

Das heißt also

qp_3_3

Der Parameter u könnte also die Bedeutung einer Geschwindigkeit haben, was sich auch als richtig herausstellen wird, denn u ist die Ausbreitungsgeschwindigkeit der Welle.

Es stellt sich heraus, dass Gl. (3.1) folgende Lösung besitzt:

qp_3_4

Dabei sind f und g zwei beliebige Funktionen, die die Gestalt der vorwärtslaufenden Welle (f) und die Gestalt der rückwärtslaufenden Welle (g) angeben. Die konkreten Gestalten ergeben sich dabei aus den Rand- und/oder Anfangswerten.

qp_3_abb_2

Jetzt wollen wir noch anschaulich machen, warum u die Ausbreitungsgeschwindigkeit der Welle ist.

Dazu denken wir uns, wir wären ein Wellenreiter und würden auf der vorwärtslaufenden Welle f(x‑ut) = f (ξ) mitreiten. Um immer am selben Platz im Wellenzug zu bleiben, müssen wir die Größe ξ konstant halten.
Wir stellen uns also die Frage: in welcher Beziehung müssen x und t stehen, damit ξ sich nicht ändert. Das heißt, wir müssen das totale Differential dξ gleich Null setzen:

qp_3_5

Wegen

qp_3_6

folgt aus (3.5)

qp_3_7

also

qp_3_8

Für unseren Wellenreiter ergibt sich also eine Ortskoordinate

qp_3_9

Das heißt, er bewegt sich mit der Geschwindigkeit u.

Was das alles mit der Schrödingergleichung zu tun hat, damit beschäftigen wir uns in den nächsten Beiträgen.

Meint

Euer Christoph

P.S.:

Hier noch die gesamten Links dieser Serie

  1. Raum und Zeit und Materie (2014-04-06)
  2. Berechenbare Menschheit (2014-04-11)
  3. Auf die Wirkung kommt es an (2014-04-15)
  4. Alles aus Jux und Tollerei? (2014-04-19)
  5. Die Welle – Aufzucht und Pflege (dieser Artikel)
  6. Platzhalter
  7. Platzhalter