Gegen Ende der Artikelserie „Ein kleiner Programmierer versucht die Quantentheorie zu verstehen“ wollen wir uns daran machen, die Schrödingergleichung zu begreifen.
Natürlich ist die Schrödingergleichung ein Axiom und kann somit nur experimentell „bewiesen“ werden, aber man kann trotzdem versuchen, sie zu „begreifen“.
In einem der letzten Artikel war die Rede davon, dass Louis de Broglie postuliert hatte, es müsse Materiewellen geben, Materie sei nicht nur als Menge von Punkten mit Masse und Ladung zu verstehen, sondern auch als Funktion einer noch zu definierenden Größe, die sich wellenartig ändere.
Jetzt wollen wir einmal ganz dumm fragen.
Was ist eine Welle? Was ist ein Teilchen?
Alle sprechen vom Welle-Teilchen-Dualismus, aber sind wir uns überhaupt bewußt über die Begriffe, die wir verwenden?
Unter einem Teilchen werden sich die meisten Menschen eine Art Billardkugel vorstellen, die eine starre, unveränderliche Form hat und sich auf einem Billardtisch befindet.
Auf dem Billardtisch stellen wir uns neben den Billardkugeln auch sehr viel leeren Platz vor, sodaß wir im Idealfall von unendlich kleinen Teilchen in einem unendlich leeren Raum sprechen.
Jedes dieser Teilchen hat dann eine bestimmte Masse und eine bestimmte Ladung.
Aus diesen Eigenschaften – Masse und Ladung – der Teilchen, aus ihrer Geschwindigkeit und aus ihrer relativen Lage ergeben sich dann alle Eigenschaften, z.B. auch die Energie und der Impuls.
Ganz anders ist es bei einer Welle.
Eine Welle ist im allgemeinen Fall eine Größe, die von allen vier Parametern x, y, z und t abhängt, also eigentlich ein zeitabhängiges Feld.
Im folgenden zeichnen wir ein eindimensionales Beispiel einer Größe y = y(x, t), wobei wir uns das Bild als „Schnappschuß“ vorstellen müssen, da sich das Bild ja mit jeder Sekunde ändert.
x sei die Ortskoordinate, t die Zeit und y sei „irgendeine physikalische Größe, die von x und t abhängt“, also zum Beispiel sei x die Ortskoordinate entlang einer Straße und y sei die Verkehrsdichte (Autos pro Minute).
Jede Welle ist also ein zeitabhängiges Feld, eine Größe, die von Ort und Zeit abhängt.
Ist aber jedes zeitabhängige Feld eine Welle?
Nein.
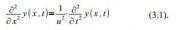
Eine Welle ist ein spezielles zeitabhängiges Feld, nämlich ein Feld, welches eine Lösung einer Wellengleichung ist.
In ihrer einfachsten eindimensionalen Form lautet die Wellengleichung
Dabei ist u ein konstanter Wert, dessen Bedeutung wir jetzt erforschen wollen.
Die Dimensionen auf den beiden Seiten der Gleichung lauten
Das heißt also
Der Parameter u könnte also die Bedeutung einer Geschwindigkeit haben, was sich auch als richtig herausstellen wird, denn u ist die Ausbreitungsgeschwindigkeit der Welle.
Es stellt sich heraus, dass Gl. (3.1) folgende Lösung besitzt:
Dabei sind f und g zwei beliebige Funktionen, die die Gestalt der vorwärtslaufenden Welle (f) und die Gestalt der rückwärtslaufenden Welle (g) angeben. Die konkreten Gestalten ergeben sich dabei aus den Rand- und/oder Anfangswerten.
Jetzt wollen wir noch anschaulich machen, warum u die Ausbreitungsgeschwindigkeit der Welle ist.
Dazu denken wir uns, wir wären ein Wellenreiter und würden auf der vorwärtslaufenden Welle f(x‑ut) = f (ξ) mitreiten. Um immer am selben Platz im Wellenzug zu bleiben, müssen wir die Größe ξ konstant halten.
Wir stellen uns also die Frage: in welcher Beziehung müssen x und t stehen, damit ξ sich nicht ändert. Das heißt, wir müssen das totale Differential dξ gleich Null setzen:
Wegen
folgt aus (3.5)
also
Für unseren Wellenreiter ergibt sich also eine Ortskoordinate
Das heißt, er bewegt sich mit der Geschwindigkeit u.
Was das alles mit der Schrödingergleichung zu tun hat, damit beschäftigen wir uns in den nächsten Beiträgen.
Meint
Euer Christoph
P.S.:
Hier noch die gesamten Links dieser Serie
- Raum und Zeit und Materie (2014-04-06)
- Berechenbare Menschheit (2014-04-11)
- Auf die Wirkung kommt es an (2014-04-15)
- Alles aus Jux und Tollerei? (2014-04-19)
- Die Welle – Aufzucht und Pflege (dieser Artikel)
- Platzhalter
- Platzhalter










[…] Die Welle – Aufzucht und Pflege (2014-09-13) […]
[…] Die Welle – Aufzucht und Pflege (2014-09-13) […]
Ist eine Modewelle auch eine Welle? Und Dauerwelle?
Und Grippewelle?
Bei Mode- und Grippewelle würde ich sagen: Ja. Da gibts auch eine Zeitliche Ausbreitung. Bei der Dauerwelle handelt es sich wohl um eine subjektive Welle, das „wellt“ sich erst beim zeitlich abhängigen Anschauen.
Na wenigstens ist das Elektron keine Welle. Das ist ein Teilchen. *ggggggggg*!
LG KNI
🙂