In der Serie „Ein kleiner Programmierer versucht die Relativitätstheorie zu verstehen“, hatte ich vor einiger Zeit (im Jahre 2012) einige Rechenbeispiele durchgemacht, die dabei helfen sollten, die Lorentz-Transformation besser zu verstehen (zu der Artikelserie gelangt man über Nachtrag zur Serie bzw. direkt über Zurück an den Start).
Um es noch einmal zu wiederholen: Durch die Annahme, dass die (gemessene) Lichtgeschwindigkeit vom Bewegungszustand des Beobachters unabhängig sei und immer denselben Wert habe, durch die Vorgabe, dass es sich um eine lineare Transformation handeln sollte und durch die Vorgabe des Relativitätsprinzips konnte Albert Einstein die Lorentz-Transformation aus allgemeineren Prinzipien herleiten und somit zeigen, dass sie kein Naturgesetz ist.
Nichtsdestotrotz ist die Lorentz-Transformation das „Arbeitspferd der Relativitätstheorie“ und man kann mit ihrer Hilfe viele Erkenntnisse gewinnen, die uns einiges über Raum und Zeit näher bringen.
Newton hatte den absoluten Raum und die absolute Zeit als „sensorium Dei“ (Sinnesorgan Gottes) seinen Überlegungen vorangestellt.
Hierbei waren beide – Raum und Zeit – „in sich absolut“, das heisst von jedweder Materie losgelöst und auch voneinander unabhängig.
Durch die Lorentz-Transformation lernen wir in der speziellen Relativitätstheorie , dass wir Raum und Zeit nicht mehr getrennt voneinander betrachten können. Wir müssen den absoluten Raum und die absolute Zeit durch eine Raumzeit ersetzen.
Weiters relativierte sich der Zeitbegriff.
Der Verlauf der gemessenen Zeit war jetzt vom Bewegungszustand des Beobachters abhängig und der Begriff der absoluten zeitlichen Lage zweier Ereignisse (ein Ereignis E1 und ein Ereignis E2 liegen immer derart, dass entweder E1 vor E2 oder E2 vor E1 liegt oder dass sie beide gleichzeitig stattfinden) wich einer Klassifizierung in eine „raumartige“ Lage, eine „zeitartige Lage“ und eine „lichtartige“ Lage.
Der Raum hingegen blieb in der speziellen Relativitätstheorie ein absoluter Raum.
Erst später, in der allgemeinen Relativitätstheorie, wurden Raum und Zeit zu einer relativen Raumzeit, die in Wechselwirkung mit der Materie stand und sich durch die Anwesenheit von Masse krümmte.
Aber was hat das alles mit der Formel E=m.c^2 zu tun?
Seit letztem Wochenende habe ich begonnen, mich ein wenig mit der Mathematik der Relativitätstheorie zu beschäftigen. Dazu habe ich ein Lehrbuch meines ehemaligen Mathematik-Professors hervorgekramt und beginne nun schön langsam zu schmökern. Darin ist mir eine einfache Erklärung der Formel E=mc^2 untergekommen, die ich Euch nicht vorenthalten möchte.
Modellbildung
Wir gehen wieder von einem punktförmigen Massenkörper aus, der sich durch den Raum bewegt:

Dabei sind wir uns bewußt, dass die Zeit t nur relativ zum Koordinatensystem (x1, x2, x3) gültig ist, bei einer Transformation nach Lorentz müssten wir auch die Zeit mittransformieren.
Um nun klarzumachen, dass die Raum- und die Zeitkoordinaten in einer Raumzeit vereinigt sind, ist es üblich, sie nicht getrennt zu schreiben, also nicht so:

sondern so:

Dabei wird c als konstanter Skalierungsfaktor verwendet, um die Zeit t in der Dimension einer Länge darzustellen (x0 ist der Weg, den ein Lichtblitz in der Zeit t zurücklegen würde).
τ ist dabei die sogenannte Eigenzeit des punktförmigen Massenkörpers. Das ist die Zeit, die eine Uhr anzeigen würde, die sich mit dem punktförmigen Massenkörper mitbewegt.
Generell arbeitet man in der Relativitätstheorie mit Vierergrößen, um klarzumachen, dass Raum und Zeit keine getrennten Begriffe mehr sind, sondern wir es mit einer Raumzeit zu tun haben.
Weitere Herleitung
So haben wir einerseits die klassische Geschwindigkeit

und als Pendant dazu die Vierergeschwindigkeit

wobei sich der Faktor β aus der Lorentz-Transformation ergibt:

Mit der Vierergeschwindigkeit kann man den Viererimpuls definieren

was schließlich zur relativistischen Formulierung des zweiten Newton’schen Axioms führt (Grundgesetz der Dynamik):

Dabei ist pi der Viererimpuls, es ist auch leicht einzusehen, dass man nach der Eigenzeit ableiten muss, und dass sich dadurch der Faktor β vor den Kräften Ki ergibt, läßt sich auch noch einsehen.
Aber welche Größe soll man für das Fragezeichen setzen?
Dazu multipliziert man Gleichung (1.8) mit der Vierergeschwindigkeit (man rechnet sich sozusagen die „Viererleistung“ aus) und kommt darauf, dass das Fragezeichen der gesamten am punktförmigen Massenkörper geleisteten Arbeit in der Zeiteinheit entspricht (bis auf einen Faktor β/c).
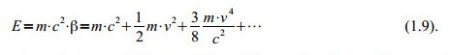
Das führt dann durch Integration der ersten Zeile von Gleichung (1.8) direkt zur Gleichung:

Hierin ist also E die Gesamtenergie des punktförmigen Massenkörpers, die sich aus Ruheenergie und kinetischer Energie zusammensetzt.
Die erste Zeile von Gleichung (1.8) entspricht dann einem kombinierten Energie- und Massenerhaltungssatz. Auch die beiden getrennten Erhaltungssätze für Energie und Masse müssen eben bei relativistischer Betrachtung zu einem kombinierten Satz zusammengefügt werden.
Meint
Euer Christoph
Ergänzung am 21. Februar 2015
Wie einige Kommentare gezeigt haben, war im vorigen Text der Schritt von Gl. (1.8) zur Gleichung (1.9) zu groß.
Diesen Schritt, der nur textuell beschrieben war, werden wir jetzt in kleinere Unterschritte zerlegen.
Erstens: Es wird behauptet, dass die linke Seite von Gl. (1.8) den Wert Null ergibt, wenn man das innere Produkt mit der Vierergeschwindigkeit w bildet.
Dabei muss vorausgeschickt werden, dass Professor Dirschmid in seinem Buch eine Näherung vornimmt, die zwar physikalisch einsichtig ist, aber keinem mathematisch exakten Formalismus entspricht.
Da das Ganze ja ohnehin nur eine Analogiebetrachtung ist und die Formel E=m.c^2 tatsächlich ein Naturgesetz darstellt, können wir akzeptieren, dass das innere Produkt mit w und die Differentiation nach der Zeit miteinander vertauscht werden.
Zu zeigen ist also die Gültigkeit folgender Gleichung:

Zuerst bilden wir das innere Produkt.
Dabei ist zu berücksichtigen, dass das innere Produkt im vierdimensionalen Raum anders definiert ist als im dreidimensionalen euklidischen Raum:

Wenn wir nun Gl. (1.10) vereinfachen, dann sehen wir, dass wir einen konstanten Wert nach der Eigenzeit ableiten, was tatsächlich Null ergibt:

Zweitens: damit muss auch die rechte Seite von Gl. (1.8) den Wert Null ergeben (ungefähr), wenn man sie mit w multipliziert, also:

Weil die Summe über vi.Ki der momentan geleisteten mechanischen Arbeit im Inertialsystem entspricht und weil dem System in unserem Modell nur mechanische Energie zugeführt wird, gilt also:

F0 in die erste Zeile der Gleichung (1.8) eingesetzt ergibt dann:

Also E = m β c2 + const.