Der Blogger „Ausgesucht“ hat auf seinem Blog „Unerhörte Worte“ [http://sinnsucht.wordpress.com] einen Beitrag über
die Relativitätstheorie geschrieben: Link [http://sinnsucht.wordpress.com/2014/07/14/laengenkontraktion-2/].
Er behandelt die Reflexion eines Lichtblitzes an einer 45°-Ebene einmal aus der Sicht eines
unbewegten Beobachters und einmal aus der Sicht eines mit der Geschwindigkeit v bewegten
Beobachters.
Durch konsequente Anwendung des Optimierungskriteriums für einen Lichtweg („der Lichtblitz
nimmt immer den schnellsten Weg zwischen zwei Punkten“) kommt er zu Widersprüchen.
Er verwendet folgendes Optimierungskriterium:

Das Linienintegral vom Anfangspunkt A zum Endpunkt E der mit dem Brechungsindex gewichteten
Wegelemente soll also minimiert werden (die notwendige Voraussetzung zur Berechnung des
Minimums ist das Verschwinden des vollständigen Differentials).
Da er seine Rechnungen nicht komplett veröffentlicht, sondern nur den Ausgangspunkt und das
Ergebnis, möchte ich seinen Gedankengang konsequent verfolgen, um den angeblichen
Widerspruch in der Relativitätstheorie dingfest zu machen
Das Modell aus der Sicht des unbewegten Beobachters
Ich verwende ein leicht modifiziertes Modell (kein Prisma sondern einen Spiegel), um die Sache
möglichst einfach anzugehen.
Hier ist bereits der blaue Beobachter angedeutet, der sich mit der Geschwindigkeit v an der Szenerie
vorbeibewegt.

Das Modell aus der Sicht des bewegten Beobachters

Wir treffen folgende Modellbildung:
- t1 = 0 sei der Zeitpunkt aus Sicht des bewegten Beobachters, an dem der Lichtblitz den
Ausgangspunkt A verläßt. Zu diesem Zeitpunkt verläuft der Spiegel durch den Ursprung des
Koordinatensystems
- Durch x1, y1 = 0 und t1 sei aus Sicht des bewegten Beobachters das Ereignis beschrieben, dass sich der Lichtblitz am Ausgangspunkt A „auf den Weg macht“
- t sei der Zeitpunkt der Reflexion aus Sicht des bewegten Beobachters, damit ist die Reflexion durch das Ereignis R(x, y, t) beschrieben
- Der Spiegel zum Zeitpunkt der Reflexion sei aus Sicht des bewegten Beobachters durch die Gerade y = – x tg α – v t definiert
- Durch x2 = 0, y2 und t2 sei aus Sicht des bewegten Beobachters das Ereignis beschrieben, dass der Lichtblitz am Endpunkt E „eintrifft“, und zwar setzen wir y2 als die y-Koordinate des Endpunktes zur Zeit t = 0
- Deshalb hat der Endpunkt zur Eintreffzeit t2 die Koordinaten E (0 / y2 – v t2)
Die Optimierungsaufgabe
- 0 < tan (α) = sqrt(1 − v^2 / c^2) < 1 sei gegeben
- x1 < 0 und y2 < 0 seien gegeben
- Die Variablen x, y und t (Ort und Zeit des Reflexionsereignisses R (x, y, t) aus Sicht des bewegten Beobachters) müssen variiert werden, sodass das Optimierungskriterium erfüllt
wird:
- 1. Nebenbedingung
Das Licht bewegt sich vom Punkt A zum Punkt R mit Lichtgeschwindigkeit
- 2. Nebenbedingung
das Ereignis R(x, y, t) liegt auf dem Spiegel
- 3. Nebenbedingung
t2 ergibt sich aus der Bedingung, dass sich das Licht vom Punkt R zum Punkt E mit Lichtgeschwindigkeit bewegt
Berechnung
Wir gehen von einer Modellbildung mit konstantem Brechungsindex n=1 aus.
Der räumliche Abstand der Ereignisse A und R ergibt sich zu:

Der räumliche Abstand der Ereignisse R und E ergibt sich zu:

Die Optimierungsaufgabe lautet jetzt also:

mit den Abkürzungen


Die Nebenbedingungen (11.9) und (11.10) ergeben sich durch Lösen je einer quadratischen Gleichung (hergeleitet aus (11.3) bzw. (11.5)) unter der Berücksichtigung der Tatsachen, dass die Werte t und t2 – t positiv sein müssen (Selektion je einer der beiden Lösungen).
Wir differenzieren Gleichung (11.8) nach x, vermuten dass x = 0 die Lösung ist, und setzen ein:
Tatsächlich ergibt sich

Das heisst, der Lichtblitz wird bei x = 0 reflektiert.
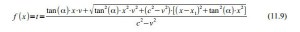
Die beiden Hilfsgrößen f(x) und g(x) ergeben sich zu

und das Ereignis R(x, y, t) ergibt sich zu

Interpretation
Es beruhigt, dass als Ergebnis der Wert x = 0 herauskommt, da dadurch der Lichtblitz für den bewegten Beobachter dieselben Ereignisse durchläuft, wie für den ruhenden Beobachter.
Meine vorläufige Vermutung, dass eventuell das Optimierungskriterium (11.1) für den bewegten Beobachter nicht mehr gültig sein könnte, hat sich also nicht bestätigt.
Wenn man einen neuen Winkel β einführt, kann man die Ergebnisse aus Sicht des bewegten Beobachters geometrisch deuten.

Es ergibt sich folgender Zusammenhang zwischen α und β:


Während der Lichtblitz die Strecke vom Ereignis A zum Ereignis R durcheilt, vergeht die Zeit t,
somit ist die Wegstrecke, die er durcheilt gleich

Der Lichtblitz fällt also aus Sicht des bewegten Beobachters schräg unter dem Winkel β ein.
Vom Reflexionsereignis am Ort

benötigt der Lichtblitz bis zum Eintreffen beim Endpunkt die Zeit

Da das Ereignis E vom Ereignis R aus Sicht des bewegten Beobachters den räumlichen Abstand |y2| hat, aber der Punkt E mit der Geschwindigkeit v „vor dem Lichtblitz davonläuft“, sodass dieser – aus Sicht des bewegten Beobachters – dem Ereignis E mit der Geschwindigkeit (c – v) „entgegeneilt“, ist auch das glaubwürdig.
Zum Schluss die Behauptung, dass das Reflexionsgesetz nach wie vor gültig ist
Wir behaupten

Was man umschreiben kann

Diese Gleichung (11.25) ist nicht wahr, das Reflexionsgesetz „Ausfallswinkel = Einfallswinkel“ läßt sich also für den bewegten Beobachter nicht aufrecht erhalten (oder es liegt hier irgendwo ein Rechenfehler vor).
Meint
Euer Christoph
P.S.: Irrtümer vorbehalten 🙂 😛